Calculusb

Calculusb es una blog creado por un estudiante de ingeniería con el fin de ayudar a todos los estudiantes para su desarrollo en las matemáticas, en un futuro se agregarían otras materias, pero está fuertemente influenciado por las matemáticas y el cálculo aplicado.

sábado, 5 de marzo de 2011

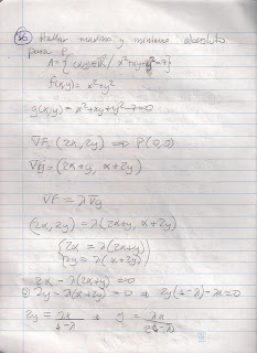
Ejercicios sobre Extremos de Funciones


























Publicado por Lafece en 10:09 No hay comentarios:
Enviar por correo electrónicoEscribe un blogCompartir en XCompartir con FacebookCompartir en Pinterest
Entradas antiguas Inicio
Suscribirse a: Entradas (Atom)

Topicos de Caculusb

  • 05 mar (3)
  • 18 feb (1)
  • 16 feb (3)

Seguidores

Buscador

Tema Fantástico, S.A.. Con la tecnología de Blogger.